就医指南
发布时间 : 2024-07-18点击量: []次 编辑: 宣传部 作者:
全球变暖导致更多的极端天气事件,如极端高温事件,由于城市热岛效应和老龄化的城市人口比例增加,城市更容易受到极端高温事件的影响。但当前这一说法在全球尺度上是否成立尚缺乏足够证据。
我院医学影像科吴兴旺教授团队与清华大学杨军教授团队针对上述问题做了深入的研究,于7月7日在环境科学与生态学领域权威期刊《Science of The Total Environment》在线发表了题为《热暴露对城市健康的影响:一项荟萃分析(Heat exposure impacts on urban health: A meta-analysis)》的综述论文。该杂志2023年影响因子为8.9,中科院一区TOP。
图1 本研究涉及的城市及气候带分布
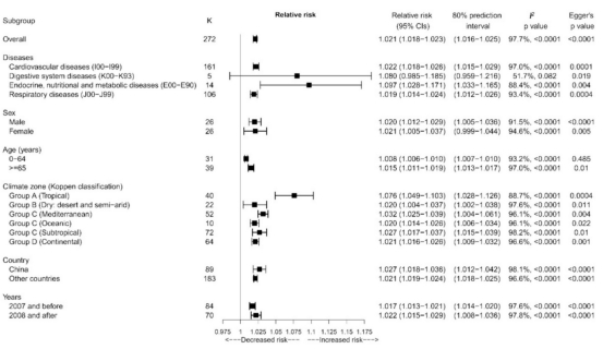
图2 气温每升高1℃,不同群体的疾病死亡率相对风险(RR)和95%置信区间(CIs)的变化,并与其他基于一般人群的研究的荟萃分析结果进行比较
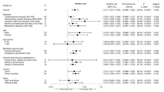
图3 气温每升高1℃,不同群体的疾病发病率的相对风险(RR)和95%置信区间(CIs)的变化,并与其他基于一般人群的研究的荟萃分析结果进行比较
该研究纳入了188项同行评审研究,使用荟萃分析方法,评估了高温(或热浪)给全球城市居民健康带来的相对风险(RR),并从不同疾病类型、性别、年龄、气候带、国家和时间段等方面进行了分组分析。研究范围包括了全球248个城市或特定区域(图1)。研究结果显示高温对城市居民的健康影响显著。每升高1°C,疾病相关死亡率增加2.1%(RR 1.021 [95 % CI 1.018–1.023]),发病率增加1.1%(RR 1.011 [95 % CI 1.007–1.016])。城市居民因高温而面临的健康风险比普通人群更大,尤其是中国的城市居民面临较高的死亡风险,与其他国家的死亡率2.1%(RR 1.021 [95 % CI 1.019–1.024])相比,中国城市居民受高温影响的死亡率为2.7%(RR 1.027 [95 % CI 1.018–1.036]),死亡风险增加了0.6%(图2,图3)。此外,2007年后高温相关的死亡率比之前更高,反映了全球变暖加剧的健康风险。
研究揭示了高温(或热浪)会给城市居民带来更高的健康风险,为卫生主管部门指定针对性的公共卫生政策和战略提供依据。
吴兴旺教授为论文的通讯作者,清华大学地球系统科学系杨军教授为论文的共同通讯作者。清华大学地球系统科学系博士生杨旭东为论文第一作者,合作作者包括安徽医科大学硕士研究生许兴园、王祎泽。研究得到国家重点研发计划(2019YFA0607201)的资助。
论文链接:
https://www.sciencedirect.com/science/article/pii/S0048969724047995
供稿 医学影像科 吴兴旺
Copyright © 2020 www.ayfy.com 版权所有 安徽医科大学第一附属医院 技术支持:博达软件